×
模态框(Modal)标题
在这里添加一些文本
关闭
关闭
提交更改
取消
确定并提交
×
模态框(Modal)标题
×
Rss服务
Email Alert
Toggle navigation
首页
期刊介绍
编委会
编辑委员会
青年编委会
投稿须知
中国原子能农学会
联系我们
留言板
English
图/表 详细信息
新型氮肥对麦套辣椒产量和经济效益的影响
蒋欠南, 睢福庆, 周健康, 岳艳军, 张志阳, 叶优良, 赵鹏, 袁天佑
核农学报, 2025, 39(
11
): 2549-2558. DOI:
10.11869/j.issn.1000-8551.2025.11.2549
处理Treatment
果实颜色比例
Ration of different fruit color/%
红色 Red
绿色Green
杂色Motley
CK
42.0ab
47.5ab
10.5a
CU
50.8a
43.8b
5.4b
CLU
50.2a
42.4b
7.4b
SU
29.5b
62.9a
7.6ab
CTU
36.6ab
55.5ab
7.9ab
表3
新型氮肥处理对辣椒果实的影响
本文的其它图/表
图1
河南省漯河市临颍县2023年5月至9月日平均气温和降雨量分布图
表1
试验处理及肥料用量
图2
新型氮肥处理对麦套辣椒植株生长的影响
注:
不同小写字母表示不同处理间差异显著(
P
<0.05)。下同。
图3
新型氮肥处理对麦套辣椒植株产量的影响
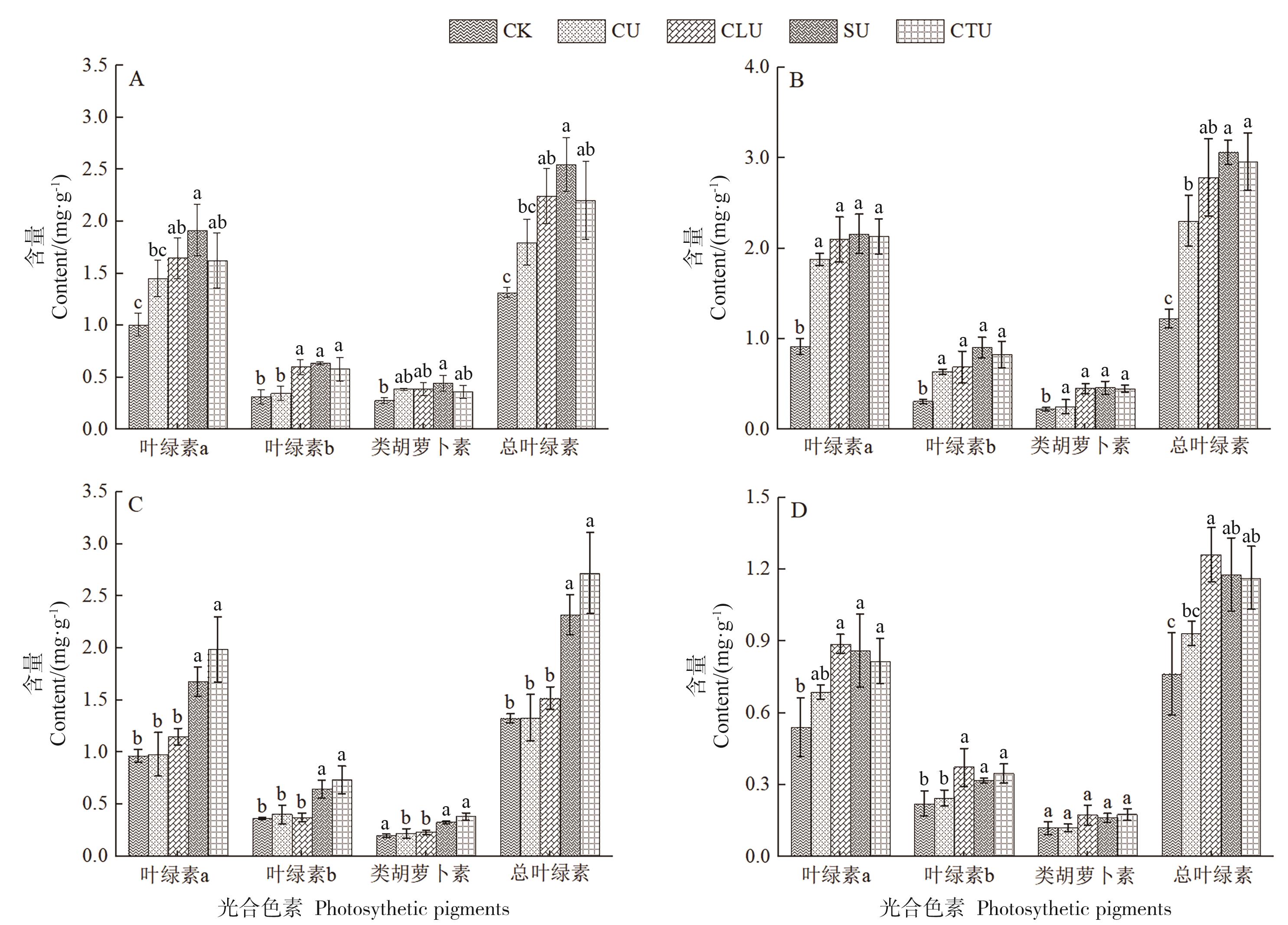
图4
新型氮肥处理对麦套辣椒植株叶绿素的影响
注:
A:幼苗期;B:营养生长期;C:开花坐果期;D:成熟期。
图5
新型氮肥处理对麦套辣椒植株氮、磷、钾含量和氮、磷、钾积累量的影响
注:
SS:幼苗期;VGS:营养生长期;FFS:开花坐果期;RS:成熟期。
表2
新型氮肥对麦套辣椒氮肥吸收利用的影响
表4
新型氮肥处理对辣椒经济效益的影响